楼梯踏步如何计算
楼梯踏步如何计算
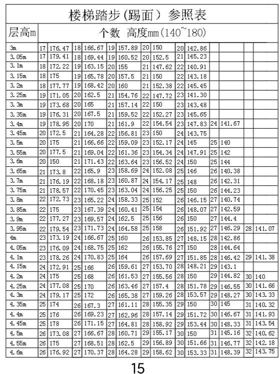
在建筑行业当中,楼梯一直是一个难点,很多初学者甚至一些老师傅都不会计算楼梯的踏步,今天就教大家一个简单易懂的楼梯踏步计算方法,为了更好的让大家学会楼梯踏步的计算,特意给大家整理了两张楼梯踏步的参照表。

楼梯踏步参照表,0.9米至2.95米。

楼梯踏步参照表,层高三米至4米6。
楼梯踏步参照表是如何使用的?首先我们只需要知道楼层的高度也就是层高,然后再对照我们的参照表,看一下需要做多少步?每一步的高度是多少?确定好步数以后我们再算出楼梯的总的长度,是不是感觉很简单。
下面给大家举个例子,例如楼梯的层高为三米,要求楼梯的步数为单数,那么接下来我们就可以利用我们的踏步参照表,在踏步参照表上先找到层高三米步数参照,楼梯的要求步数为单数,对照三米的参照表为单数的步数分别有17步和19步,踏步如果17步,那么每一个踏步的高度为176.47,踏步如果做19步,那么每一踏步的高度为157.89。两个选择我们自然会选19步的,因为19步的踏步高度要平一点,不是那么陡。知道步数以后我们就可以算,楼梯总的长度,如果我们做的是直跑楼梯,那么我们就需要18个脚踩面,也就是楼梯踏步的踩面数。楼梯踏步的宽度一般建议在25~30公分之间,如果每一步的宽度要求做30公分,那么我们就用300×18=5400毫米,也就是楼梯总的程度需要5.4米,如果是做双跑楼梯,我们总的步数就不能选单数了,那我们就要选双数了,因为楼梯的单双是走到休息平台以后为单数,双跑楼梯等于是两个直跑楼梯,每一个直跑的步数为单数,那么两个直跑数加起来它就是双数。如果是双跑楼梯,我们就要选踏步参照表上的双数的,18步和20步,如果楼梯踏步的宽度为30公分我们选总步数18步的,他们所需要的楼梯斜坡,水平长度为2.4米,你学会了吗?
-
- 冬至吃饺子还是吃汤圆?南北方饮食差距为何如此之大?
-
2025-12-15 22:18:32
-
- 钓鱼图片大全
-
2025-12-15 22:16:18
-
- 大码模特无惧体重压力,超150斤的身材,照样穿瑜伽裤很自信
-
2025-12-15 22:14:04
-
- 科学养羊应该投喂啥饲料,自制羊饲料配方
-
2025-12-15 06:33:48
-
- 抖音各大网红八卦奇闻
-
2025-12-15 06:31:34
-
- “全车断电”,高铁大面积晚点?铁路最新回应
-
2025-12-15 06:29:19
-
- 在哪里当兵最好?
-
2025-12-15 06:27:05
-
- 汽车电器维修工是干什么的
-
2025-12-15 06:24:51
-
- 曼珠沙华|彼岸花专题文案
-
2025-12-15 06:22:36
-
- 金鱼志 | 红狮头金鱼 11
-
2025-12-15 06:20:22
-
- 登上热搜!肖战否认
-
2025-12-15 06:18:08
-
- 4人死亡!今天凌晨北京一自建房起火,元凶又是它!
-
2025-12-15 06:15:53
-
- 在《梅花儿香》中,最后的大结局是什么?
-
2025-12-15 06:13:39
-
- 实锤了!你还在等元旦高速免费吗?
-
2025-12-15 06:11:25
-
- 全国拥有核武器的九个国家
-
2025-12-15 06:09:10
-
- 南海观音:全球最高观音像,守护平安健康,带来吉祥如意与好运
-
2025-12-15 06:06:56
-
- 火爆全网的德国小仙女模特Chloe精灵女孩
-
2025-12-15 06:04:42
-
- 甘肃的高原夏菜
-
2025-12-15 06:02:27
-
- 被传婚变后,谢娜为张杰秘密策划42岁生日
-
2025-12-15 06:00:13
-
- 30岁进电子厂做普工很尴尬?中年进厂很丢人吗?
-
2025-12-15 05:57:59



15本男主占有欲强的宠文小说推荐,《深渊女神》一生推
40岁以上的张惠妹长胖了,你知道为什么吗?